You got to click on the little blue words under the pic to see the Doc
BlueRidge said
Feb 18, 2016
Doug Rucker wrote:
got a link??? Hard for me to read
I will send you or anyone else who wants the file Doug, as well as the link. Being a govt website, it's not the easiest to navigate. I wanted to attach the file but there was no way since the only attachment that will upload is images. The attach files button doesn't work so I printed, scanned and posted as an image. The files are in the office. I'll send when I get there.
I was doing some research to shoot down the franchise boys with their pressure washers and push to sell their products.
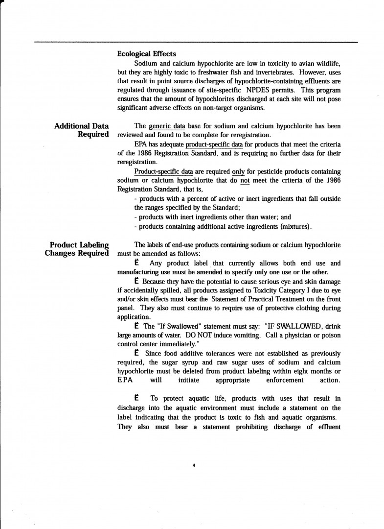
This EPA document has some good stuff in it.
You got to click on the little blue words under the pic to see the Doc
I will send you or anyone else who wants the file Doug, as well as the link. Being a govt website, it's not the easiest to navigate. I wanted to attach the file but there was no way since the only attachment that will upload is images. The attach files button doesn't work so I printed, scanned and posted as an image. The files are in the office. I'll send when I get there.
EPA R.E.D. Facts
Hank